您當前的位置:首頁 >> 技術 >> 注塑 » 正文
基于量子遺傳算法的注塑機PID控制系統
  瀏覽次數:12859  發布時間:2019年11月08日 10:21:34
[導讀] 為提高注塑機液壓伺服控制系統的精確度和穩定性,提出了基于量子遺傳算法的注塑機PID控制系統。引入量子遺傳算法對注塑機PID系統參數進行全局尋優,以累積誤差作為目標函數,根據實際工況動態調節PID參數。仿真實驗和實測分析結果表明,本控制系統在精度和穩定性上優于傳統PID控制方法,且超調量更小、運算速度更快,有效確保了產品質量的一致性。
 王浩1,王繼先2             
1平頂山技師學院,河南平頂山467000
2河南化工技師學院,河南開封475004


摘 要:為提高注塑機液壓伺服控制系統的精確度和穩定性,提出了基于量子遺傳算法的注塑機PID控制系統。引入量子遺傳算法對注塑機PID系統參數進行全局尋優,以累積誤差作為目標函數,根據實際工況動態調節PID參數。仿真實驗和實測分析結果表明,本控制系統在精度和穩定性上優于傳統PID控制方法,且超調量更小、運算速度更快,有效確保了產品質量的一致性。

關鍵詞:注塑機;液壓系統;PID;量子遺傳算法

液壓系統是注塑機的重要組成部分,液壓控制系統直接關系到塑料制品的質量和性能[1-3]。圖1為注塑機伺服閉環控制系統,該系統包含伺服電機、液壓泵、液壓閥等器件,與注塑產品生產緊密關聯。為保證注塑機穩定工作,注塑機液壓伺服系統主要采用PID閉環控制技術進行反饋調節。文獻[4]將PID與神經網絡融合,實時調節液壓控制系統相關參數,顯著提高了注塑制品的尺寸精度;文獻[5]使用PID分段控制液壓系統,提高了注塑機控制精度,克服了PID固定參數引起控制精度下降的問題;文獻[6]結合變論域與自適應模糊PID控制理論設計了控制系統,顯著提高了注塑機液壓系統的動態性能。上述方案均具有自動調節能力,大幅提升了注塑制品的質量和生產效率,但是在參數選擇上仍然不夠快速靈活,存在調節時間過長等問題。


 
近年來,量子理論與經典優化算法的結合得到了國內外學者的廣泛關注。文獻[7]將量子理論與遺傳算法結合,進一步提高了遺傳算法的收斂速度,解決了敏捷成像衛星調度問題;文獻[8]將量子理論應用于菌群算法,以更快的速度完成了PID參數整定;文獻[9]運用量子理論改進粒子群優化算法,獲得了更快的尋優速度。上述研究表明,量子優化算法具有更快的尋優速度、更高的尋優精度,適用于解決多參數全局尋優問題。

注塑機液壓系統的PID控制系統參數關系到注塑制品質量,根據反饋信息對液壓伺服系統的控制參數進行動態調整,有利于提高系統的穩定性。因此,本文引入量子遺傳算法實時調節液壓伺服系統的PID參數,以克服不確定因素帶來的干擾,提升注塑機在生產過程的自適應能力。

1問題描述

在生產過程中,注塑機液壓伺服系統一方面要保證較高的響應速度,根據外界環境變化和產品生產過程及時調節;另一方面還要確保較高的控制精度,參數調節必須能夠反應真實的生產需求。塑料融化過程中,壓力處于時刻變化狀態,需要對壓力進行及時響應;熔料流入壓力槍后,一旦出現壓力不均衡的情況,將引起熔料在注塑槍內回流,對注塑制品質量產生嚴重影響。綜上,必須使用具有全局快速尋優能力的算法對液壓系統進行實時控制。

2量子遺傳算法
2.1量子編碼

與其他優化算法不同,量子遺傳算法使用量子比特來表示種群中的每一個個體。在量子理論中,量子比特的表達式為:
(1)
式(1)中,|0〉、|1〉稱為量子比特的基態,α和β分別表示對應基態的量子概率幅。量子比特的量子概率幅在數學上必須滿足約束條件:
(2)
由式(2)可得,α,β∈[-1,1]。
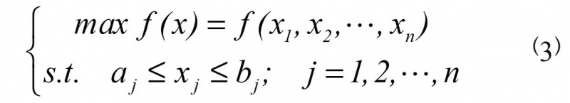
n維尋優問題可以表達為:
(3)
式(3)中,X=(x1,x2,…,xn)T∈Rn,為n維尋優問題的最優解,aj和bj表示最優解X的第j個變量xj的臨界值。量子遺傳算法使用式的量子概率幅對個體進行編碼:
(4)
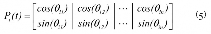
Pi(t)表示第t代種群中第i個個體。由于圖片|cos(x)|2+|sin(x)|2=1,滿足式(2)約束條件,故使用sin和cos函數對式(4)進一步表達:
(5)
式(5)中,θij表示角度,θij=2π×rnd,rnd為[-1,1]范圍內的實數;i=1,2,…,m,表示種群個體;j=1,2,…,n,表示個體的量子比特。式(5)表明,對于一個n維的尋優問題,每一個個體需要使用n個量子比特。由此可得,n維尋優問題實際上是在n維量子空間In=[−1,1]n內部搜索最優解的過程。
對于任意實數而言,如果用余弦進行表示,必然存在2個角度與之對應;如果用正弦進行表示,同樣存在2個角度與之對應。因此對于一個實數必然存在4個角度值在量子空間與之對應。對于n維的尋優問題而言,如果實數空間Rn存在M個全局最優解,在n維量子空間In=[−1,1]n中對應有4nM=2n+1M個最優解[10-11]。這一結論表明,將實數空間的解映射到量子空間,全局最優解將以指數倍數增加,極大增加了搜索到最優解的概率。

2.2個體進化
量子遺傳算法的個體進化更新時,主要通過對自身量子比特概率幅進行改變,通常通過量子旋轉門完成:
(6)
Δθ為量子進化算法中的個體轉角步長,其取值大小直接關系到量子進化算法的搜索能力。Δθ過小容易陷入局部最優解,不利于全局最優解尋找;Δθ過大能提高搜索速度,但會降低精度,影響控制對象的性能。

2.3個體變異
在保證精度的前提下,如果只采用個體進化,往往難以跳出覆蓋范圍較大的局部最優解。因此,在進化過程中必須選擇個體進行變異,大幅改變個體的量子比特狀態,與當前種群形成顯著差異。可采用量子非門完成個體變異:
(8)
經過量子非門轉換,結合式(4)和式(5)可知,此時量子比特的量子概率幅進行了調換,極大改變了量子比特狀態,有助于擺脫當前種群局限,提高全局搜索能力。

2.4解空間變換

量子比特尋找最優解范圍在[-1,1]區間,必須將[-1,1]映射回實數空間才能得出最終結果。結合式(2),可以分別使用α和β將量子空間的值換算為實數空間解。根據式(3)可知:
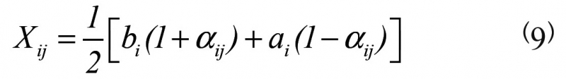
(1)如果使用基態|0〉的量子概率幅α,則實數空間中最優解X的第j位轉換式為:
(9)
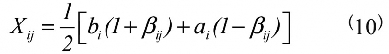
(2)如果使用基態|1〉的量子概率幅β,則實數空間中最優解X的第j位轉換式為:
(10)
綜上,量子遺傳算法的個體使用量子編碼,但進化過程與傳統的遺傳算法基本一致,由于具有更多的全局最優解,因此其搜索速度更快,一定程度上避免了陷入局部最優解。

3 PID控制系統

基于量子遺傳算法的注塑機PID控制系統如圖2所示。

PID控制系統的輸入輸出關系為:
(11)
(12)
量子遺傳算法用于對式(11)中的三個參數KP、KI、KD進行尋優。由于系統具有滯后性,無法使用瞬時誤差e(t)判斷當前參數是否為最優參數,本文采用累積誤差作為目標函數:

(13)
4實驗分析
4.1 仿真分析

利用MATLAB的Simulink對本文所提PID控制系統進行測試,信號輸入為階躍信號。參數設置參考200T注塑機,具體參數如表1所示。

表1

圖3為仿真實驗結果,仿真時間10s,系統輸入為1。傳統PID系統根據經驗將三個參數設置為KP=2、KI=0.08?KD=0.03。從圖3可以看出,基于量子遺傳算法的注塑機PID控制系統超調量更小,輸出波動更小。與傳統PID相比,量子優化PID系統的參數隨著反饋動態調節,輸出控制更加平穩,調節速度更快,有利于保證產品質量。

4.2實測分析

以200T伺服型注塑機進行實測分析。起始位置設置為31mm,注塑完畢位置設置為80mm,表2為注塑前后螺桿位置對比。

表2
從表2可以看出,注塑前螺桿的位置最大值為31.2mm,最小值為30.7mm;注塑后螺桿的位置最大值為80.1mm,最小值為79.6mm。誤差均在1%以內,說明本文提出的控制系統具有較高精度。
以30g注塑產品為例檢測其質量,結果如表3所示。從表3可以看出,所有產品質量誤差均在1%以內,說明基于量子遺傳算法的注塑機PID控制系統具有良好的穩定性,能充分保證產品質量的一致性。
表3

5結論

將量子遺傳算法引入傳統PID控制,動態調節注塑機液壓伺服系統的PID控制參數,有效提高了控制系統的精確度和穩定性。量子遺傳算法具有較高的全局尋優能力,能夠針對外部環境變化和產品生產反饋信息實時調整參數。與傳統PID控制系統相比,基于量子遺傳算法的注塑機PID控制系統能夠以較小的超調量、較快的運算速度獲得質量穩定的注塑制品,為注塑機控制提供了一種有效途徑。


參考文獻:
[1] 焦志偉,安瑛,謝鵬程,等.新型注塑機合模機構內循環節能機理[J].機械工程學報,2012,48(10):153-159.
[2] 曾廣勝,瞿金平,江太君,等.一種注塑機鎖模系統的理論計算與模擬分析[J].高分子材料科學與工程,2012,28(2):169-173.
[3] 劉浩.注塑機領域的研究進展[J].合成樹脂及塑料,2018,35(4):99-102.
[4] 黨霞.基于自適應神經網絡PID的注塑機溫度控制[J].合成樹脂及塑料,2018,35(6):83-86.
[5] 陶西孟,羅亮,劉知貴.基于分段PID的注塑機料筒溫度控制算法研究與仿真[J].塑料,2015,44(3):68-70.
[6] 張鵬,馮顯英,霍睿,等.基于變論域自適應模糊PID的注塑機溫控系統研究[J].組合機床與自動化加工技術,2017(7):107-109,115.
[7] 王海蛟,賀歡,楊震.敏捷成像衛星調度的改進量子遺傳算法[J].宇航學報,2018,39(11):1266-1274.
[8] 劉璐,單梁,戴躍偉,等.非線性動態自適應旋轉角的量子菌群算法[J].控制與決策,2017,32(12):2137-2144.
[9] 張藝瀛,金志剛.一種高維多模態優化的量子粒子群優化算法[J].哈爾濱工業大學學報,2018,50(11):50-58,82.
[10] 劉志剛,許少華,李盼池,等.基于量子衍生布谷鳥的脊波過程神經網絡及TOC預測[J].控制與決策,2017,32(6):1115-1120.
[11] 張強,李盼池,劉麗杰.基于量子混合蛙跳算法的油田開發規劃多目標優化[J].信息與控制,2014,43(1):116-122.