引言:
現代注射成型技術向著高速、高效方向發展,對注塑機的合模平穩性要求越來越高,不僅要求注塑機合模機構開、合模速度快,定位精度高,而且模板需受力均勻,運行平穩。然而,合模機構工作過程中有較多的振源,如動模與定模的沖擊、基礎的振動、起高壓和泄壓過程產生的振動等,對合模機構的動態性能產生較大影響,嚴重時會加速合模關鍵部件的疲勞失效,影響產品質量一致性和注塑機使用壽命。
鑒于目前國內的大多數注塑機企業尚未對注塑機合模過程振動水平開展準確的技術評估,本文著手對某型號注塑機的合模、開模周期進行振動加速度測試嘗試,通過信號處理和分析,對影響合模過程的振動水平進行評定,為合模機構的減振措施、優化設計提供技術基礎依據。
?
1.測試原理
振動測試對象是國內自主設計的全液壓驅動的大型二板式注塑機,其結構由注射機構合模機構,液壓部分和電氣控制部分組成,其示意圖如圖1所示。試驗中振動加速度傳感器布置在動模板和定模板的四個頂角處,由磁座固定,如圖2、3所示,同時用攝錄機對注塑機合模動作進行拍攝;采用億恒7008信號分析儀對四個相同型號的振動加速度傳感器進行振動信號同步采集,采集時間長達4個合模、開模工作周期。對記錄振動數據進行離線信號處理。
圖1、注塑機結構示意圖
圖2、動模板
圖3、定模板
?
2.注塑過程振動特點
在整個合模機構中,直接影響合模位置精度的是動模板,所以動模板運動的平穩性是關注的重點。注塑機的動模板由四個液壓系統驅動,由于控制的精度問題,導致動模板運動除了完成規定的往返直線運動以外,還在驅動過程中疊加了干擾,使動模板產生了振動。由于動模板的巨大質量和液壓系統耦合,干擾產生的是一個低頻振動,它使注塑機整體振動。動模板工作瞬時振動信息能很好地反映系統的注塑機動力性能狀態和控制品質,因此,可以通過動模板工作瞬時振動特性,來深入探討整個合模機構的振動及穩定性問題。
在動模板運動過程中,除了含大量的機構系統中其它運動部件和結構的信息,也包含了嚴重的噪聲干擾,如抱閘、加壓、泄壓等敲擊和沖擊動模板運動系統,產生高頻振動。在振動測試記錄中,高頻振動波疊加在動模板產生的振動中。
在動模板上拾取的一個振動加速度的時間歷程,它有低頻和高頻振動兩部分疊加,如圖4所示。利用低通濾波和高通濾波分離這兩部分信號,動模板的振動時間歷程,如圖5所示;沖擊響應歷程,如圖6所示。
?
圖4、動模板振動加速度記錄時間歷程
圖5、動模板的振動
?
3.動、定模板振動加速度級水平評定
為了描述運動狀態下的動模板的振動,在圖5的振動加速度時間歷程中,選擇最大振動值為動模板的振動特征。由于動模板尺寸大,用四個振動最大值的平均值評定注塑機的振動級水平。在所測得注塑機中,振動加速度水平是0.25g。
圖6、動模板的沖擊與敲擊振動響應
?
振動加速度級水平反映了動模板沿軸向運動的平穩性,振動過大,會增大合模位置誤差,引起動模板和定模板之間的沖擊,振動沖擊嚴重時,甚至會損壞注塑模具。
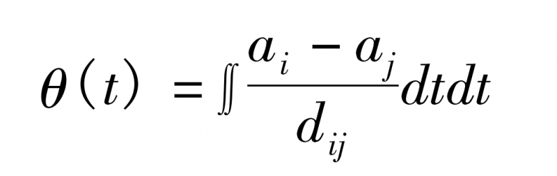
動模板除了直線運動外,還存在俯仰擺動和左右擺動。利用測點之間的距離和數值積分技術,可以給出最大俯仰擺動角度和左右擺動角度。在所測得注塑機中,經過數值積分后的1、2測點的振動位移明顯大于3、4測點的振動位移,最大位移差為60mm,說明在注塑機中存在俯仰擺動。擺動的表達為:

(1)
式中:θ(t)為擺動角度;ai和aj分別是測點i和測點j處的振動加速度。
在本試驗中,最大擺動角度為60/2040Rad=1.685degree。
動模板的擺動說明動模板在運動過程中的受力不均,會加劇動模板軸套和拉桿之間的摩擦和磨損,同時能反映了液壓控制系統的缺陷。
圖7定模板振動加速度時間歷程
?
在合模過程中,定模板的振動主要來源于動模板運動和沖壓引起的振動,以及合模中其它動作傳遞的高頻沖擊,如圖7所示為單個合模周期的振動時間歷程,圖8和圖9為通過濾波后得到的低頻和高頻振動加速度信號。經測試,該注塑機的振動加速度水平是0.17g,同時存在俯仰擺動。
由于定模板與注塑機基體固連,定模板的振動加速度級反映注塑機基體的振動水平,長期較大的基體振動會引起注塑機部件的疲勞失效、安全問題,影響注射成型質量。
?
圖8、定模板的振動
圖9、定模的沖擊與敲擊振動響應
?
4.結論
在注塑機合模過程中,通過動模板和定模板的四個頂角處的振動加速度信號的采集和分析,得到以下結果:
(1)合模過程中的振動主要來源于其中的低頻振動信號,經過信號的數字濾波和數值積分技術,可以評定出動模板和定模板的軸向振動和最大擺動角度。軸向振動用四個測點處振動加速度最大值的平均值來評定,最大擺動角度可由各測點間的位移差和其測點間距離的比值得到。
(2)對合模周期內的振動加速度信號與合模動作中進行對比分析,得到振動的低頻信號由開模和合模產生,高頻信號由抱閘、開閘、加壓、泄壓等產生,可以通過對合模機構的機械結構、尺寸進行優化,降低由系統帶來的低頻振動影響。
?