劉敬祺1,胡光良2,張躍飛1,嚴勝義2,朱少軍2
(1.浙江工貿職業技術學院,浙江溫州325003;2.浙江長江汽車電子有限公司,浙江溫州325025)
摘要:汽車旋鈕作為內飾面板上重要的功能零件,其操作表面常設計為多齒形結構并采用電鍍后處理工藝,以賦予產品獨特的人機交互體驗。為了順利成型脫模,齒形結構的成型應設計多向抽芯機構,并嚴格控制行位分型段差,以保證產品成型質量。以某汽車品牌內飾旋鈕為例,分析建立了一套關于齒形結構與抽芯行位數量的計算方法,以此確定最優行位抽芯方案。行位成型齒面采用電火花放電成型工藝,根據加工對象離散程度,實際生產分為分體式加工和組合式加工。其中組合式加工需要五軸數控加工制備整體式電極,依賴模具裝配關系組合行位實現一體化成型。通過合理拆分成型零件結構及加工定位孔系以實現行位成型過程的可靠定位,以此為基礎設計了一套基于組合加工的多齒形汽車旋鈕注塑模具,并詳細敘述了模具結構設計方案。實踐表明,組合式加工工藝比分體式加工在生產效率及質量方面均有明顯提升,設計制造的模具安全可靠,塑件成型滿足預期要求,分型段差明顯改善,可控制在0.02mm以內,電鍍表面質量良好,無積鍍、毛刺、鼓包、起皮等缺陷。
關鍵詞:汽車旋鈕;多齒形結構;電火花放電;組合加工;多向抽芯
汽車旋鈕作為汽車內飾面板上的一種交互裝置,常被應用于車輛娛樂、空調、導航等多個系統,承擔音量、溫度、風速等參數的調節功能。在當今車輛設計日趨人性化、智能化的大背景下,汽車旋鈕要求易于操作和辨識,以提高駕駛者在車輛控制過程的便利性和安全性。同時,不同品牌和車型旋鈕要求具有個性化造型和設計風格,在保證其功能性的同時,需兼顧視覺效果和美學價值,以吸引用戶的目光[1]。
因此,常見旋鈕通常為圓柱形,并增加紋理設計及特殊表面工藝,以提供更好的人機交互體驗。多齒形結構常見于旋鈕操作表面,賦予其不同的觸感及質感,提供產品防滑及防磨損功能[2]。隨著加工技術的不斷發展,齒形實現自由定制,產品樣式及細節體現更為豐富,通過表面電鍍進一步賦予塑件金屬質感,增添產品的高級感和奢華感,傳遞精工細作的品牌價值,可幫助企業塑造市場競爭力和品牌形象[3]。
為保證塑件注塑后順利脫模,多齒形汽車旋鈕須采用行位多向同時抽芯成型,不同齒形抽芯難易程度各異,需要視結構具體分析,相關設計案例如圖1所示。有的旋鈕結構僅需3個行位即可成型,有的則需要6個,更多的甚至需要10個行位成型?;陔婂児に嚨奶厥庖螅>呓Y構設計與成型質量的要求較高,尤其是成型零部件的加工及裝配需保證極高質量及精度,不允許過大的分型段差以及銳邊、棱角等缺陷[4]。筆者以某汽車品牌電鍍操作旋鈕為例,結合產品結構和設計要求明確了塑件多行位抽芯成型方案,分析了不同加工工藝路線下模具成型零件加工效率以及產品成型質量,最終確定了組合式加工工藝,并以此為基礎詳細闡述了模具總體設計方案。
1塑件結構分析
研究對象為一個需六向抽芯成型的多齒形汽車旋鈕,結構如圖2a所示,外形尺寸為42.7mm×17.2mm,凈重5.8g,年產量50000件,模具設計壽命30萬次。塑件操作表面周向均勻分布著6行120列齒形紋理結構,齒形輪廓為四面等腰錐體,具體如圖2b所示。齒底截面尺寸為0.9mm×0.9mm,齒頂截面尺寸為0.2mm×0.2mm,齒高0.6mm,同一圓周截面對立齒面夾角α為71.37°,相鄰齒間中心線夾角Y為3°,齒根間距為0.125mm。
塑件材料選用電鍍級聚碳酸酯/丙烯腈-丁二烯-苯乙烯共聚物(PC/ABS)(SABIC公司,MC1300100),要求齒形特征成型面為鏡面,其余為光面;整體無毛刺、飛邊,電鍍后無積鍍、毛刺、鼓包、起皮等缺陷,重點關注成型齒形的相鄰行位分型處。實踐表明,瓣合行位的成型段差直接影響電鍍質量。較大分型段差或局部銳邊、棱角會引起電荷集聚效應,段差現象進一步加劇,產生積鍍、毛刺或燒焦現象,不僅大大影響產品美觀,還會降低鍍層結合強度進而出現鼓包、起皮、脫落等缺陷,嚴重影響產品的使用體驗。因此,模具設計及制造過程多行位加工裝配精度是保證其復雜多齒形外觀面成型質量的關鍵[5],實際生產過程應控制段差小于0.02mm。因涉及曲面測量,采用顯微放大鏡目視觀察控制成型段差。
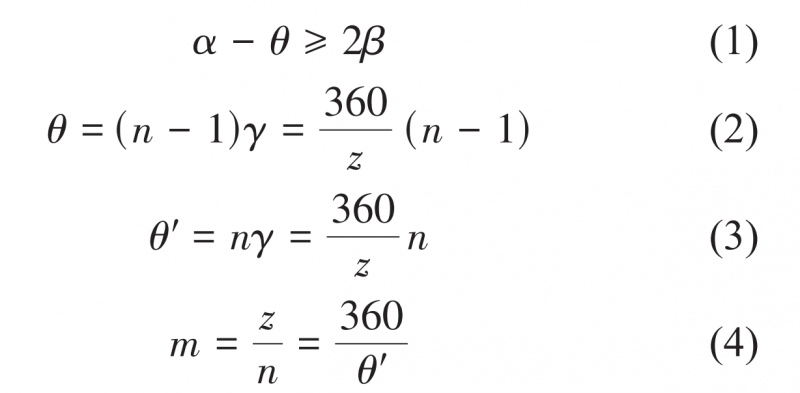
據經驗可知,行位設置越多,對模具裝配及成型質量越不利,應根據塑件齒形參數確定所需最少行位數量[6-7]。為保證結構順利成型,行位齒形的脫模斜角β為1.50°。根據圖2c及圖2d所示的幾何關系可知,行位分型線應設置在齒形結構的齒根中心[8],并且滿足式(1)~式(4)時,行位包覆塑件表面齒形結構,可順利抽芯脫模。
式中:θ為行位包覆區域內相距最遠兩齒形的中心線夾角;n為行位最大包覆齒形數(向下取整);z為齒形總列數;θ'為行位最大包覆角;m為順利抽芯所需的最少行位數(向上取整)。
本例α=71.37°,β=1.50°,γ=3.00°,z=120,聯立各式計算得最大包覆齒數為23齒,對應最大包覆角為69.00°,因此可確定塑件順利成型所需最少行位數為6塊。
2多齒形結構行位加工工藝路線分析
隨著現代模具制造工藝的不斷發展,三維曲面在模具型芯型腔的應用日漸廣泛。作為模具加工的主要手段,數控加工(CNC)和電火花加工(EDM)各有特色。CNC擅于加工較為平坦型腔面,加工質量及效率高,也可用于EDM電極的制造。對于模具復雜型面、夾角、窄縫、深坑等部位加工,必須由EDM完成。EDM成型幾何形狀雖不受限制,實際生產仍應考慮電極制造難易程度。對于本試驗用多齒形旋鈕塑件,按照最優行位抽芯方案成型需設置6個行位,因此單個行位成型面上均勻分布著20列齒形溝槽,如圖3a所示。齒形結構中心線各異,考慮零件結構特征與成型技術經濟性,宜采用EDM成型。實際生產時,根據加工對象離散程度,模具成型零件含有分體式加工和組合式加工兩種工藝路線。
2.1分體式加工工藝
分體式加工即每次EDM放電面向單個行位加工,所有行位完成單體離散加工再行裝配。電極成型面結構與塑件操作表面局部齒形類似。采用普通三軸CNC加工時,刀具側刃加工齒形表面過程近似于行位抽芯,故同樣遵循式(1)的幾何關系。刀具側刃角β’一般為5°~15°,遠大于行位齒形脫模斜度β,故兩側邊緣數齒實際加工會發生過切現象,如圖3b所示。選用細長刀具雖可縮小刀具側刃角避免過切,但存在斷刀、彈刀風險及表面加工不良缺陷[9-10]。因此,包含單個行位完整齒形的電極受限于刀具及機床制約難以直接加工到位,采用五軸CNC加工同樣不符合成型經濟性的原則,故必須通過拆分電極結構以實現,具體如圖3a及圖3c所示。
分體式加工即每次EDM放電面向單個行位加工,所有行位完成單體離散加工再行裝配。電極成型面結構與塑件操作表面局部齒形類似。采用普通三軸CNC加工時,刀具側刃加工齒形表面過程近似于行位抽芯,故同樣遵循式(1)的幾何關系。刀具側刃角β′一般為5°~15°,遠大于行位齒形脫模斜度β,故兩側邊緣數齒實際加工會發生過切現象,如圖3b所示。選用細長刀具雖可縮小刀具側刃角避免過切,但存在斷刀、彈刀風險及表面加工不良缺陷[9-10]。因此,包含單個行位完整齒形的電極受限于刀具及機床制約難以直接加工到位,采用五軸CNC加工同樣不符合成型經濟性的原則,故必須通過拆分電極結構以實現,具體如圖3a及圖3c所示。
拆分電極共包含8列齒形,左右剩余6列齒形通過工件旋轉完成加工,應定制配套專用夾具。夾具具體結構及加工原理如圖3d所示。夾具加工兩行三列共6個孔位:第1行為定位孔,第2行為止轉孔;Ⅰ,Ⅱ,Ⅲ三列分別對應行位工件左偏18°、豎直狀態及右偏18°三種裝夾狀態,行位上對應加工相應孔位。單個行位采用圖3所示拆分電極,旋轉3次完成EDM加工,每次旋轉后用2組銷釘將行位可靠固定以確保加工精度。為避免EDM放電過程的損公現象以保證所有齒形結構加工一致性,每塊行位需要經歷粗加工和精加工兩道工序,粗加工每次旋轉需更換一塊電極,精加工僅需一塊電極完成。
由于分體式加工工藝需加工多塊電極,且加工過程涉及多次裝夾、定位,加工累計誤差較大。進一步考慮模具裝配、磨損的累計誤差,最終成型旋鈕行位分型段差必超過0.03mm。因此,分體式加工工藝往往難以充分滿足電鍍齒形塑件較高的加工精度以及表面質量要求。
2.2組合加工工藝
組合式加工即每次EDM加工面向所有行位加工。行位事先按照模具裝配關系組合,通過整體式電極在一次裝夾中完成所有組合工件的放電成型[11-12]。該工藝方法精密、高效,但需要模具結構同步優化改善。采用整體電極結構以及工件組合關系如圖4所示,其中電極外齒形結構與塑件操作表面基本一致,采用傳統三軸CNC加工技術仍然難以完成。但隨著加工技術日趨成熟,五軸CNC技術日漸普及,機床刀具包含x,y,z三個移動軸加任意兩個旋轉軸。相對于三軸CNC,五軸機床不改變工件相對位置即能實現空間任意角度的線性插補運動[13-14],不會發生刀具干涉過切現象,對上述結構整體式電極能夠直接加工成型。
所有行位裝配并精加工端面內圓后,同時后退一段電極放電安全距離,隨后整體式電極沿z軸下移至行位同一水平面開始組合放電加工。加工任一行位時,電極通過x,y軸聯動向該行位的后撤方向移動,完成對該行位獨立加工。然后回到模具中心開始下一行位加工,直至所有行位齒面成型。通過整體式電極組合放電,所有行位僅需經歷一次粗加工以及精加工即可完成,減少電極數量以及EDM放電次數,生產效率大幅提高。電極齒形輪廓與塑件齒形尺寸誤差,即EDM加工放電間隙(又稱火花位),粗加工放電間隙一般為0.2mm,精加工可達0.1mm。與此同時,采用組合式加工無需制作專用夾具,結合模具裝配一次裝夾成型,減小了累計加工誤差,保證所有行位齒形的加工一致性,有利于提高后續塑件成型質量。組合加工工藝具體制造流程相對復雜,后續結合模具成型零件的結構設計進一步展開。
3基于組合加工的注塑模具結構設計
基于上述論述,組合式加工工藝一方面需五軸CNC加工的整體式電極,另一方面需要通過成型零件合理拆分設計以確保行位加工裝配精度[15]。以本塑件為例,基于組合加工的注塑模具結構設計闡述如下。
3.1分型面及型腔布局
圖5為塑件分型面及型腔布局示意圖。如圖5a所示,該塑件的成型需要1個主分型面和6個側向抽芯輔助分型面,輔助分型面設在齒形結構齒根中心處。主分型面設置使塑件主體在動模模腔內成型,消除了模具合模精度影響,并且便于后續脫模。行位上表面與主分型面平齊,成型部分下表面緊貼圖示滑動配合面,有利于模具組合加工的縱向定位。
由于塑件成型需多向側抽芯,齒形結構的成型精度要求較高,模具建議采用一模一腔。如圖5b所示,型腔布置在模具中央,四周根據齒形結構保留滑塊抽芯安全距離,模具內部空間有效利用,結構設計緊湊,模板尺寸已達300mm×300mm。若采用一模多腔方案,每增設一個型腔均需要配套加工單獨型腔板,模具尺寸及修配難度大幅提高,因此采用一模一腔的方案對于模具制造更為經濟。
3.2澆注系統及冷卻系統設計
模具澆注系統設置如圖6a所示。因模具采用一模一腔,故選用大水口進料。主流道長度由定模座板及定模板厚度確定,為避免凝料增多導致成型壓力和溫度損失過大,一般不宜超過60mm[16]。本例二板厚度和至少為95mm,故采用內徑70mm的大定位圈G1,并在定模座板和定模板上分別加工出直孔G2和斜面G3,下沉澆口套G4縮短主流道長度。該類旋鈕塑件尺寸較小,外表面為外觀面,為保證零件的真圓度,澆口設置在內表面厚膠處,以三點潛伏式澆口進膠。為防止電鍍類零件壓力過大造成殘余內應力,成型時盡量降低零件的注射壓力及保壓壓力,一般不超過40MPa。滑塊設計時考慮同步鎖緊塊鎖緊,并設置凹槽限位,防止行位受力產生位移。行位在成型過程受力不平衡性較小且對后期成型塑件影響較小。
塑件屬于回轉體,熔體進入模腔后熱量自模具中心向外發散,對動、定模均采用井字形循環水路進行冷卻(如圖6b所示),冷卻水道直徑為8mm,進水溫度為80℃。為確保齒形成型精度,試模過程應對模溫進行實時監控,確保其波動范圍不大于±5℃。在滿足整體功能結構布局的基礎上,以不干涉為原則,模板上應加工出相應模溫測試孔。
3.3成型零部件設計
考慮模具壽命,成型零部件采用強度高的SKD61,熱處理硬度50~54HRC,表面氮化硬度高達60HRC,可保證滑塊耐磨性,避免長期工作磨損影響齒形尺寸及表面質量。成型零部件的拆分與制造、定位與裝配是模具組合加工設計任務的關鍵。如圖7a和圖7b所示,定模模腔可分為定模鑲件F1及定模型腔板F2,通過中央鑲件孔組合在一起,內部加工有模溫監測孔G8,用于放置探針;動模模腔由6個側型芯F4、動模型腔板F6以及動模拆分鑲件F3,F7共同組成,組裝后剖視圖如圖7c所示。6個行位分別安裝于動模模腔板對應導滑槽F5。F7鑲件橫截面為正六邊形,6條棱邊正對6個行位,上表面高于行位滑動面10mm,與行位成型部分下表面平齊作為其滑動基準面,側面6個臺階面F9作為行位徑向定位基準面。F3鑲件上額外設置膠位成型塑件夾持端,待后續電鍍完成后去除。
行位設在動模模腔,組合加工關鍵亦在于動模成型零件制造。拆分后加工制造流程如下。
(1)成型部件離散加工。上述部件單獨切割下料。行位成型端面僅加工切削圓弧并保留加工余量,之后模腔板中央鑲件孔、T形導滑槽F5以及6個行位間配合斜面采用慢走絲成型,鑲件F7上表面、側面臺階及行位上對應配合面采用工藝磨加工,以確保后續配合精度。
(2)成型部件裝夾定位。按上圖完成裝配,圖7c所示即塑件成型位,行位沿各自滑槽后退安全距離即EDM位。為確保組合加工過程的定位需要,行位和動模模腔板上應加工定位孔系F8和F11。加工前,行位下部貼緊基準面F9,不存留任何間隙;利用激光點焊工藝與模腔板固定,隨后采用慢走絲同步加工。定位孔位置任意確定,僅需不與其他特征發生干涉即可,但其軸心連線應與行位滑行方向一致,并且間距等于電極放電安全距離4mm。
(3)成型位組合加工。對齊1孔和1′孔軸線,并用定位銷釘固定。移除鑲件F3及F7,采用慢走絲對所有行位組合形成的完整圓弧面同時精加工,精度達0.01mm,尺寸環真圓度達0.03mm,即可滿足后續齒形型面加工形位精度。
(4)EDM位組合加工。行位后退對齊1孔和2′孔軸線,并用定位銷釘固定,如圖7d所示。整體式電極移至模腔板中心并下降至指定高度,逐一對行位進行側向放電加工,加工過程參見圖4b。此時行位間配合斜面已分離,因電極放電影響,行位在T形槽配合間隙內存在旋轉跳動,應進一步設置止轉孔系F12,其位置在不發生干涉前提下任意確定,但需注意保持與定位孔系足夠的安全距離。放電過程中,對齊行位與模腔板各自止轉孔系軸線并用止轉銷釘加以固定,保證復雜齒形型面加工質量。
F3 is the same as Fig.6;F1—Fixed mould core insert;F2—Cavity plate;
F4—Side core;F5—T-type slide guide;F6—Core plate;F7—Moving
mould core splitting inserts;F8—Positioning holes inside cores;
F9—Positioning datum;F10—Cavity of electroplating bracket;
F11—Positioning holes in core plate;F12—Stop-rotation holes;
G8—Mould temperature test hole
3.4推出機構設計
該塑件底部壁厚較薄,平均壁厚僅為1.5mm,因此采用扁頂針推出機構。如圖8所示,使用了2種截面共6根扁頂針。其中扁頂針E1截面為4mm×1mm,設置在底部壁厚較薄處;扁頂針E2截面為5mm×1.2mm,設置在塑件底部厚膠處(即潛伏式澆口進料的正下方)。兩種扁頂針在塑件底部圓周交替對稱分布,與行位在脫模方向上無干涉。由于設置電鍍夾持膠位F10,該處推出力相對增大,故兩側扁頂針分布夾角應適當縮小以平衡受力。推出機構整體由推板E7驅動,推板導柱E3和推板導套E4導向,帶動扁頂針頂出塑件,直至限位柱E12接觸動模板,最大頂出距離為30mm。
P,F3 are the same as Fig.6;F10 are the same as Fig.7;E1,E2—Ejector
blade;E3—Ejector guide pin;E4—Ejector guide bush;E5—Retaining
plate;E6—Stop pin;E7—Ejector plate;E8—Limit switch;E9—Return
pin with compressed spring;E10—Support pillar;E11—Z-shaped sprue
puller;E12 —Stop block;M4—Support blocks;M5—Back plate
3.5抽芯機構設計
針對上述設計,選用斜導柱抽芯機構驅動行位抽芯。根據模具整體裝配和成型實際需要,斜導柱固定在定模一側,滑塊設置于動模一側,整體結構如圖9所示。
為確保齒形結構的成型精度,由裝配工藝銷C1定位6個行位對齊至成型位后方可進行模具抽芯機構裝配。滑塊C6與側型芯F4通過T形槽組合在一起,通過壓板C3安裝于動模一側?;瑝K與壓板之間采用間隙配合,雙邊配合間隙為0.02mm,并且滑塊側面增加油槽,確保滑塊順利滑動,不會因模具受熱膨脹而出現卡滯。鎖緊塊C2與斜導柱C4安裝于定模一側,并在鎖緊塊斜面安裝有耐磨塊以減少磨損?;瑝K側面加工有兩條V形槽C10,中心距為5mm,恰好對應模具所需抽芯距。模具正式工作前應移除定位銷釘。合模時,彈簧定位裝置C11通過壓板側面孔插入圖示左側V形槽1鎖定滑塊成型位。開模時,斜導柱驅使滑塊后退,定位裝置滑出V形槽1,直至斜導柱脫離滑塊,定位裝置恰好滑入右側V形槽2。在此基礎上,滑道后端設置有安全限位螺釘C9,避免彈簧定位裝置失效造成的風險。
F4 is the same as Fig.7;C1—Side core locating pins;C2—Wedge block;
C3—Plate;C4—Angular pin;C5—Screw;C6—Core slide;
C7—Locating pin;C8—Wear-resistant block;C9—Limit nail;
C10—V groove;C11—Slide positioning device
4模具工作原理及成型效果
4.1工作原理
模具三維結構如圖10所示,工作原理如下。
(1)合模注塑。模具通過動、定模座板M1,M5安裝在注塑機上,接入冷卻水以調節模溫。注塑機熔化原料,鎖緊模具,完成注塑過程。注射時,噴嘴前端球面緊貼澆口套G4,以保證無熔料積存。
G1,G4 are the same as Fig.6;F1~F4,F6,F7 are the same as Fig.7;
E1~E3,E5~E7,E9~E11,M4,M5 are the same as Fig.8;
E13—Z-type pulling rode;C2,C4,C6,C8 are the same as Fig.9;
M1—Front plate;M2—Fixed plate;M3—Moving plate;
M6—Safety strap;M7—Precision positioning column
(2)開模抽芯。塑件充型并完全冷卻固化后,注射機停止鎖模并驅動動模M3后退開模。動模側滑塊C6在定模側斜導柱C4的作用下,帶動側型芯F4后退完成塑件周圈齒形結構抽芯。凝料借助Z形拉料桿E13脫模澆口套,與塑件一同留在動模側鑲件F3上。
(3)脫模頂出。動模后退,注塑機驅動推板E7前移,帶動扁頂針E1,E2以及Z形拉料桿E13共同頂出,潛伏式澆口自動切斷實現凝料與塑件的分離。塑件順利脫模,由人工或機械手取出塑件。
(4)復位合模。脫模后注射機頂桿后退,復位桿E9上壓縮彈簧主動回彈,驅使推出機構復位,直至底部接觸限位釘E7。同時動模M3前移重新合模,壓實復位桿端面,觸發到位信號,開始下一注射循環。
此外,模具的導向定位精度對于多齒形結構塑件的成型質量尤為關鍵。除常規導柱、導套以及模腔板F2,F6表面設置的虎口結構外,模具在動、定模板間配有6個錐形定位柱M7,按照行位布局對稱布置,以提高模板間的配合精度以及模具的整體剛度。
4.2改善效果
相較于分體加工工藝,基于組合加工的多齒形汽車旋鈕模具通過成型零部件合理拆分,借助五軸CNC加工整體式電極,實現所有行位組合件的同時加工,對模具加工制造以及產品成型均具有顯著改善效果。
(1)生產效率:采用分體加工工藝,模具6個行位各自經EDM放電成型齒形面,電極受限傳統三軸CNC技術需拆分結構。每個行位需4塊電極,經歷
6次放電完成齒形的粗、精加工。因此,每套模具共需加工電極24塊,行位零件經CNC電極加工及EDM放電工時合計為96h。采用五軸CNC技術雖無需拆分電極,減小了電極加工數量,但提升了數控編程復雜程度,單件加工工時有所增加,加之設備昂貴,實際改善效果有限。采用組合加工,僅需五軸CNC加工2塊整體電極經2次EDM放電即可完成所有行位加工,工時合計為12h,僅為分體式加工的12.5%,加工效率提升顯著?;诮M合加工生產的模具經小批量生產驗證,動作可靠靈活,多向抽芯機構未出現卡滯、碰撞等問題;批量生產穩定可靠,配合機械手夾取料頭,生產周期35s/模次,日產能達2260個,可滿足汽車主機廠產量要求。
(2)成型質量:由于分體式加工行位為單體離散制造,加工、裝配等多個環節累計誤差較大,因此產品行位分型處存在明顯段差,電鍍后成型質量較差。相較之下,組合式加工利用模具自身結構結合先進加工技術可靠定位,實現模具關鍵零件加工裝配一體化制造,在降低修配難度的同時保證了產品成型質量。采用基于組合加工工藝設計的模具,塑件表面經顯微鏡觀察分型段差顯著改善,產品電鍍表面幾乎不存在積鍍、毛刺或燒焦等缺陷,成型質量顯著提升,具體如圖11所示。
5結論
(1)對于多齒形結構塑件,通過分析其結構特征及參數,明確行位多向同時抽芯成型思路,建立了一套關于齒形結構與抽芯行位數的計算方法。該方法能夠快速求解行位對齒形結構最大包覆齒數、包覆角以及所需最少行位數量,對模具抽芯行位設置具有指導意義。
(2)對于多齒形結構塑件,行位齒形面的成型應采用EDM加工。實際生產按照加工制造離散程度有分體式加工以及組合式加工兩種工藝路線。研究表明,組合式加工利用模具自身裝配關系裝夾定位,實現行位加工裝配一體化,大大提高了加工制造效率以及成型質量,對于多齒形結構電鍍塑件成型具有顯著優勢。
(3)對于多齒形結構塑件,多向抽芯行位在塑件齒根間對稱分型,并設置在動模側以便于后續加工裝配。成型零部件設計對于組合式加工尤為關鍵,通過拆分鑲件以及定位孔系保證了行位與模腔板的可靠定位,并以此為基礎詳細闡述了成型零件的組合加工過程以及模具其余各系統的設計方案。
實踐表明,基于組合加工設計的模具安全可靠,零件加工生產效率大幅提升,產品成型質量符合預期要求,尤其是操作表面齒形結構處的分型段差顯著減小,電鍍后無明顯外觀缺陷,證實該組合式加工工藝先進,配套模具結構合理,對同類型產品的模具設計及制造具有一定參考價值。1)對于多齒形結構塑件,通過分析其結構特征及參數,明確行位多向同時抽芯成型思路,建立了一套關于齒形結構與抽芯行位數的計算方法。該方法能夠快速求解行位對齒形結構最大包覆齒數、包覆角以及所需最少行位數量,對模具抽芯行位設置具有指導意義。
(2)對于多齒形結構塑件,行位齒形面的成型應采用EDM加工。實際生產按照加工制造離散程度有分體式加工以及組合式加工兩種工藝路線。研究表明,組合式加工利用模具自身裝配關系裝夾定位,實現行位加工裝配一體化,大大提高了加工制造效率以及成型質量,對于多齒形結構電鍍塑件成型具有顯著優勢。
(3)對于多齒形結構塑件,多向抽芯行位在塑件齒根間對稱分型,并設置在動模側以便于后續加工裝配。成型零部件設計對于組合式加工尤為關鍵,通過拆分鑲件以及定位孔系保證了行位與模腔板的可靠定位,并以此為基礎詳細闡述了成型零件的組合加工過程以及模具其余各系統的設計方案。
實踐表明,基于組合加工設計的模具安全可靠,零件加工生產效率大幅提升,產品成型質量符合預期要求,尤其是操作表面齒形結構處的分型段差顯著減小,電鍍后無明顯外觀缺陷,證實該組合式加工工藝先進,配套模具結構合理,對同類型產品的模具設計及制造具有一定參考價值。1)對于多齒形結構塑件,通過分析其結構特征及參數,明確行位多向同時抽芯成型思路,建立了一套關于齒形結構與抽芯行位數的計算方法。該方法能夠快速求解行位對齒形結構最大包覆齒數、包覆角以及所需最少行位數量,對模具抽芯行位設置具有指導意義。
(2)對于多齒形結構塑件,行位齒形面的成型應采用EDM加工。實際生產按照加工制造離散程度有分體式加工以及組合式加工兩種工藝路線。研究表明,組合式加工利用模具自身裝配關系裝夾定位,實現行位加工裝配一體化,大大提高了加工制造效率以及成型質量,對于多齒形結構電鍍塑件成型具有顯著優勢。
(3)對于多齒形結構塑件,多向抽芯行位在塑件齒根間對稱分型,并設置在動模側以便于后續加工裝配。成型零部件設計對于組合式加工尤為關鍵,通過拆分鑲件以及定位孔系保證了行位與模腔板的可靠定位,并以此為基礎詳細闡述了成型零件的組合加工過程以及模具其余各系統的設計方案。
實踐表明,基于組合加工設計的模具安全可靠,零件加工生產效率大幅提升,產品成型質量符合預期要求,尤其是操作表面齒形結構處的分型段差顯著減小,電鍍后無明顯外觀缺陷,證實該組合式加工工藝先進,配套模具結構合理,對同類型產品的模具設計及制造具有一定參考價值。
參考文獻
[1]葉豪,鄭永江,董少迪.車用旋鈕的軌道設計、仿真分析與試驗研究[J].機械設計,2019,36(2):27?31.
[2]熊毅,馮嘯霖.外側整圈倒扣產品多向順序抽芯注射模具[J].塑料工業,2021,49(8):81?86.
[3]徐文慶,熊建武,陳黎明,等.汽車旋鈕升舉螺桿式推板同步推出機構注射模改進設計[J].工程塑料應用,2022,50(12):92?96.
[4]劉慶東.汽車塑料電鍍裝飾條注塑模具設計[J].中國塑料,2020,34(12):88?91.
[5]閆竹輝,劉斌.多向抽芯汽車空調出風口殼體注塑模具設計[J].工程塑料應用,2020,48(8):93?98.
[6]曹洋,寧雪梅,秦劍,等.復雜多特征SR3薄壁塑料殼體多向抽芯注塑模具設計[J].塑料工業,2022,50(S1):76?81.
[7]王靜,劉雪敏,崔玉波.汽車方向盤蓋板復雜多向抽芯二次頂出熱流道注塑模具設計[J].塑料,2021,50(6):119?122,128.
[8]雷小葉,楊幸雨,梅益.MP3089車載導航后蓋殼體卡扣薄壁件多向側抽芯注塑模具設計[J].合成樹脂及塑料,2019,36(2):77?81.
[9]李陽.微陣列結構的微銑削/微細電火花組合加工技術研究[D].哈爾濱:哈爾濱工業大學,2019.
[10]吉帥.微方孔電火花電解復合加工[D].南京:南京航空航天大學,2021.
[11]胡光良,嚴勝義,宋小尉,等.注塑模表面齒形花紋結構加工工藝的設計優化[J].工程塑料應用,2023,51(6):73?79.
[12]嚴勝義,王甘平,胡光良,等.一種高效加工旋鈕模具表面齒形花紋的方法:CN202110149783X[P].2022-06-17.
[13]張健,霍鳳偉,徐金亭,等.小型推進器轉輪五軸數控加工[J].工具技術,2024,58(7):86?90.
[14]宋艷麗,麥麗菊,程俊.基于NX12五軸定位的分流器基座銑削加工工藝設計[J].機床與液壓,2020,48(19):152?155,169.
[15]林靜財.高精度卸料板鑲件組合加工工藝[J].模具工業,2022,48(12):58?61,67.
[16]徐新華.操控旋鈕雙色注射成型熱流道模具設計[J].中國塑料,2020,34(9):84?89.